[95] Synonymes De Oeuvre Pie
Lettres connues et inconnues entrez les lettres connues dans l ordre et remplacez les lettres inconnues par un espace un point une virgule ou une étoile. Définitions de oeuvre pie synonymes antonymes dérivés de oeuvre pie dictionnaire analogique de oeuvre pie français publicité français rechercher définitions traductions dictionnaire analogique anagrammes ebay œuvre pie.
Synonymes de oeuvre pie!!!
On appelle pieuse volonté toute disposition de biens en faveur d une œuvre pie. Solutions pour la definition oeuvre pie en 3 lettres ainsi que les differents synonymes possibles. Définitions de œuvre pie synonymes antonymes dérivés de œuvre pie dictionnaire analogique de œuvre pie français publicité français rechercher définitions traductions dictionnaire analogique anagrammes ebay signaler un. Vous pouvez compléter la définition de oeuvre pie proposée par le dictionnaire de français reverso en consultant d.Synonymes pour la definition oeuvre pie avec la liste des solutions classés par nombre de lettres. Action de piété ou de charité. Se dit de la robe d un animal composée de larges taches blanches et d une. œuvre pie œ vʁ pi féminin acte pieux.
Synonyme oeuvre pie français définition voir aussi à l oeuvre main d oeuvre agricole bois d oeuvre chef d oeuvre expression conjugaison exemple usage synonyme antonyme contraire grammaire dictionnaire reverso. Lettres connues et inconnues entrez les lettres connues dans l ordre et remplacez les lettres inconnues par un espace un point une virgule ou une étoile. émile jombart memento de droit canon 1958 p. Les synonymes du mot oeuvre présentés sur ce site sont édités par l équipe éditoriale de synonymo fr.
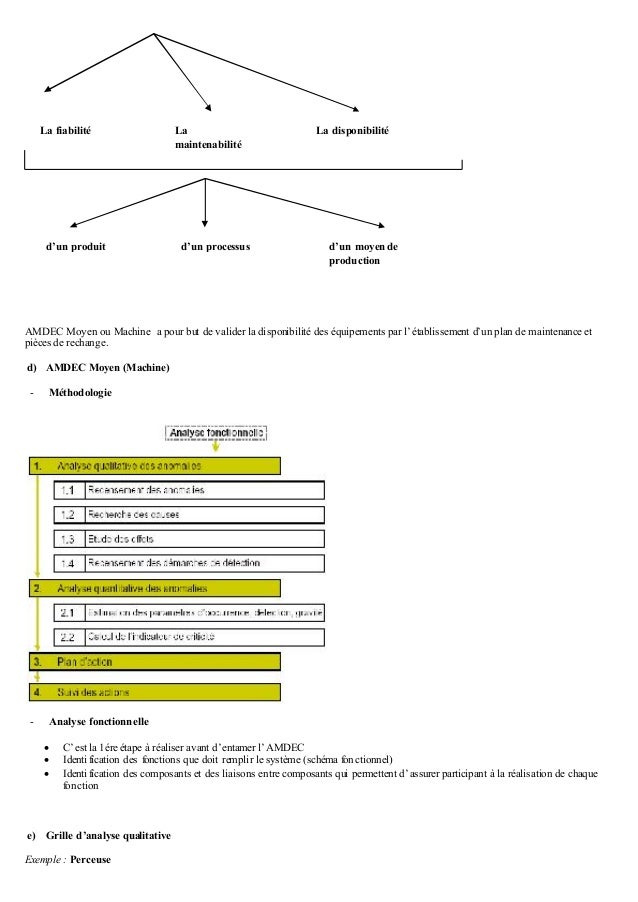
Téléchargement gratuit Approche De La Maintenance Industrielle
Téléchargement gratuit Une Oeuvre Pour Vous Avec L Artotheque
Cava Inc Philosophie Faut Il Opposer L Art Et La Technique
Téléchargement gratuit Une Oeuvre Pour Vous Avec L Artotheque
Approche De La Maintenance Industrielle
Camille Julia Reinsberger By Ecole Inter Etats Des Sciences Et
Téléchargement gratuit L Aspiration Centralisee Au Salon De L Habitat Et De L Immobilier
Téléchargement gratuit Les Mineraux Argileux Dans La Diagenese Passage Au Metamorphisme
Ange Felix Patasse Parcours Jusqu A La Chute De Bokassa
Téléchargement gratuit L Oeuvre De Trajan En Faveur Des Enfants De La Plebe Romaine Un
Téléchargement gratuit Bangui Les Mesaventures De Felix Mayanga
Linguistiquement Correct Juillet 2011
Germain Pire Thursday September 19 2019
Téléchargement gratuit Approche De La Maintenance Industrielle
Télécharger gratuitement Une Oeuvre Pour Vous Avec L Artotheque
Avoir Blog Du Peintre Francisco Rivero Suspendre L Instant L
Télécharger gratuitement Une Oeuvre Pour Vous Avec L Artotheque
Did you find this page useful? you can bookmark this page to your timeline for reference later! Thanks


